版本:v0.8.0 安卓版大小:19.43M
类别: 常用工具 系统:Android
立即下载



星尘计算器app是一款功能强大的高精度计算器,支持各种复杂运算,不论是高中数学、大学数学还是数学专业的学生,都可以用它来解决数学难题,是一款不可多得的计算神器!有需要的童靴们来绿色资源网下载体验吧!
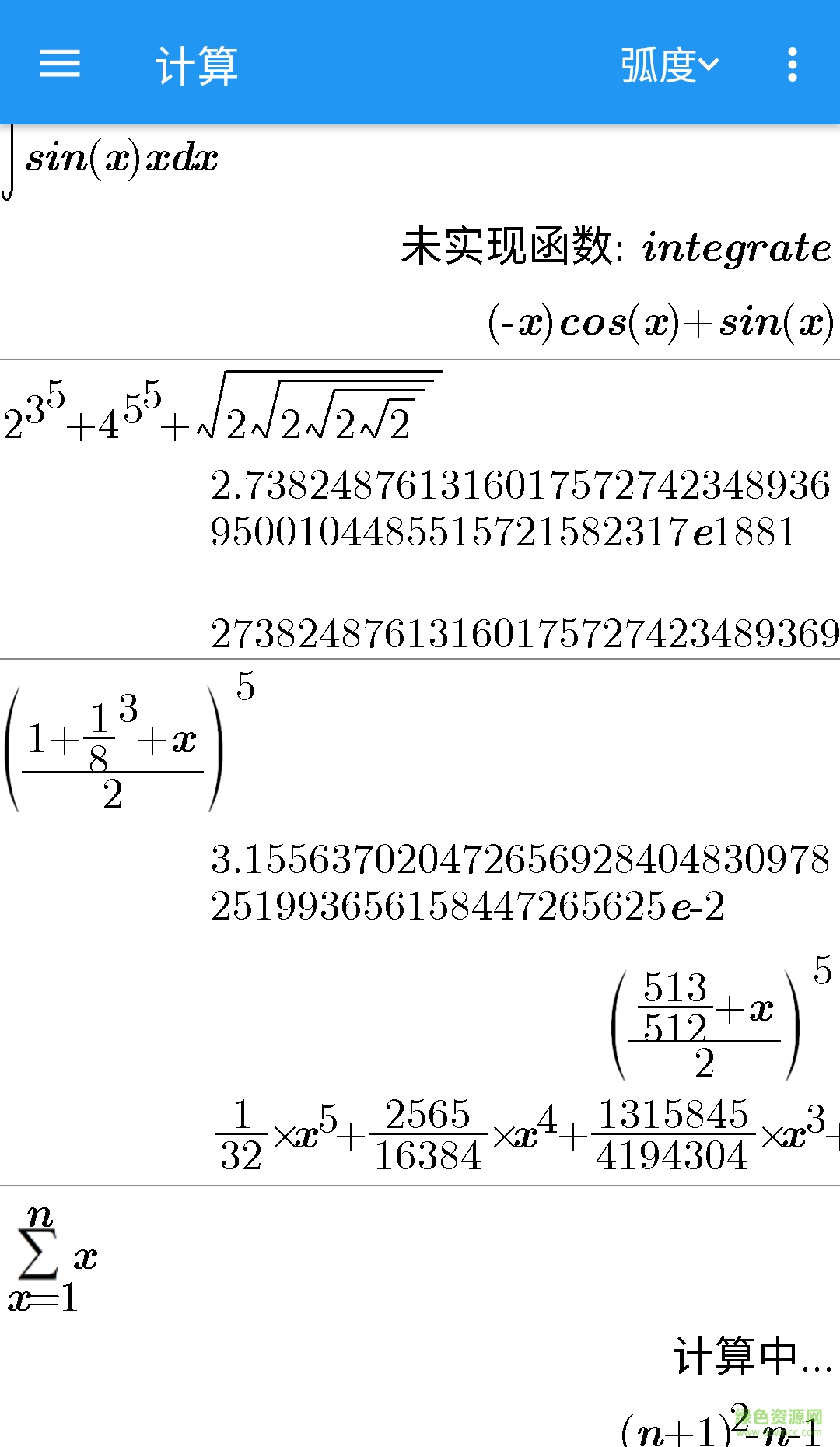
一款支持自然书写显示(类似公式编辑器的根号、分数显示),高精度运算,符号计算,微积分(定积分不定积分多重积分广义积分),矩阵,向量,方程,级数,傅里叶变换,微分方程,数列,集合,数论,整数,分数,进制转换,复数,排列,三角变换,线性代数,矩阵分解,矩阵变换,抽象代数,单位运算,单位转换的强大计算器
新增 9宫格键盘
新增 在MathJax中查看式子
优化 部分自然书写显示
新增 图像测试
优化 部分字体显示
修复 若干BUG
查看全部